基于高海拔宇宙线观测站“拉索”(LHAASO)的观测数据,我国科研人员首次精确刻画大质量恒星死亡瞬间万亿电子伏特伽马射线爆发全过程,首次观测到高能光子流量的快速增强过程。相关研究成果6月9日在线发表于《科学》杂志。

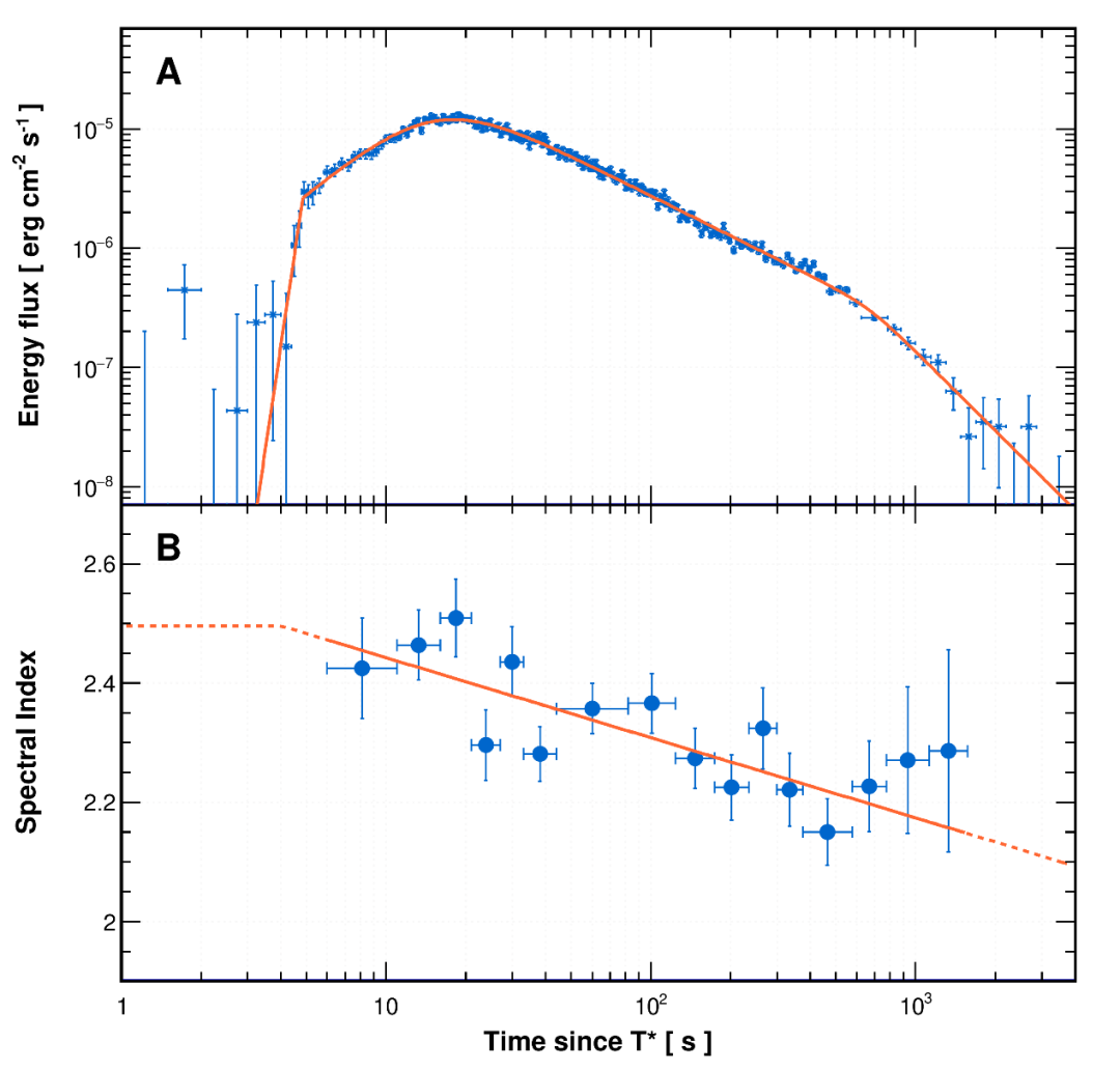
“拉索”观测到的3千亿到5万亿电子伏特能量范围的GRB 221009A余辉辐射的光变过程与能谱指数演化,以及函数拟合。
数据分析表明,“拉索”探测到的光子来源于伽马射线暴事件主爆之后的后随爆炸。“‘拉索’首次精确地观测了‘后随爆炸’的完整过程,记录了万亿电子伏特伽马射线流量增强和衰减的整个阶段,实现了其他实验没有达到的高能量波段光变过程的教科书式的完整观测。”中科院高能所研究员、“拉索”首席科学家曹臻说。
更重要的是,在“后随爆炸”过程中,“拉索”首次探测到光子流量的极速增强。“不到两秒的时间内,光子流量增强了100多倍。这一现象超出了以往理论模型的预期。”论文通讯作者之一,中国科学院高能物理研究所研究员姚志国说,我们相信这一观测结果发布后,必将引发科学界深入探究该现象背后的驱动机制。

“拉索”以超过250倍标准偏差的高显著水平观测到了伽马射线暴GRB 221009A的爆发。
此外,“拉索”还发现了一个有趣的现象:高能辐射在爆炸发生之后不到10分钟的某个时刻,亮度突然快速减弱。“这个亮度转折发生的时间太早了,这意味着‘拉索’ 观测到的实际上是一个典型内亮外暗喷流的最明亮的核心。”论文通讯作者之一、南京大学教授王祥玉说。
“鉴于此次爆发千年不遇的稀缺性,这个观测结果预期将在今后几十甚至上百年内将保持最佳。”曹臻说,截至目前,科学家们还在不懈地深耕本次伽马射线暴的数据,力图揭示伽马射线暴更多的奥秘。
原文链接:https://www.axuezy.com/5676.html,转载请注明出处~~~
